Перейти к:
К прогнозированию вероятности невооруженной революционной дестабилизации методами машинного обучения
EDN: IBNXWP
Аннотация
В своей статье авторы предлагают систематический обзор основных способов применения методов машинного обучения, релевантного для политической социологии. Описывается история перехода от использования простых регрессионных моделей к комплексным моделям машинного обучения. Анализируются причины и преимущества такого перехода. Определяются основные способы использования моделей машинного обучения, которыми пользуются в смежных дисциплинах, и приводятся способы их применения к задачам предсказания революционных событий. Рассматривается когорта других исследователей, которые по-своему решали вопрос предсказания политической нестабильности от использования множества регрессионных моделей до применения машинного обучения как классификатора для твитов во время «арабской весны». Приводится расширенное описание основных направлений в области изучения поведения предикторов в моделях машинного обучения. Анализируются кейсы их применения и ограничения, с которыми могут столкнуться исследователи. Авторы приводят описание различных статистических подходов к задаче оценки параметров моделей машинного обучения. На примере анализа моделей, построенных для предсказания вероятности возникновения невооруженных революционных эпизодов, рассматриваются способы ранжирования параметров модели через оценку решающих деревьев и изменения в результирующей силе моделей. Авторы показывают, как коррелированные переменные могут влиять на полученный результат ранжирования, почему переменные могут при разных системах подсчета их важности оказываться в различных частях рейтинга. Также рассматривается способ определения границы, после которой параметры модели можно рассматривать как статистически значимые. Авторами проводится способ генерализованного представления направления связи различных переменных, с учетом их взаимодействия с другими предикторами, и дается интерпретация полученных результатов с использованием векторов Шепли. Из содержательных результатов проведенных тестов особо следует отметить выявление исключительно мощного эффекта революционных волн в революционных событиях XXI века, притом что в XXI веке эффект глобальных революционных волн оказывается сильнее эффекта волн региональных. Проведенные тесты заставляют предполагать, что особо сильными факторами, значимо повышающими в XXI веке вероятность начала невооруженных революционных выступлений (кроме эффекта революционных волн), являются следующие: высокий уровень политической коррупции, эффект инерции (невооруженные революционные или мощные протестные события в недавнем прошлом), аномалии экономического роста, высокие объемы помощи со стороны США (эффект «железной клетки либерализма» по Д. Риттеру), отсутствие нефтяной ренты, высокая численность населения, высокая продовольственная инфляция, средний уровень экономического развития, продолжительное пребывание первого лица у власти и промежуточный тип политического режима.
Ключевые слова
Для цитирования:
Медведев И.А., Коротаев А.В. К прогнозированию вероятности невооруженной революционной дестабилизации методами машинного обучения. Социология власти. 2025;37(2):108-141. EDN: IBNXWP
For citation:
Medvedev I.A., Korotayev A.V. Towards Forecastingting the Probability of Unarmed Revolutionary Destabilization Using Machine Learning Methods. Sociology of Power. 2025;37(2):108-141. (In Russ.) EDN: IBNXWP
Введение
В современном мире политические процессы становятся все более сложными и динамичными, требующими новых подходов к их анализу и прогнозированию. Одним из таких подходов является использование методов машинного обучения, которые позволяют обрабатывать большие объемы данных и выявлять скрытые закономерности. Однако для того, чтобы модели машинного обучения были эффективными, необходимо правильно оценить их параметры.
За последние 30 лет задача предсказания нестабильности приобретает все более комплексный характер. В конце ХХ века для анализа значительной части политических процессов использовались описательные статистики, статистические тесты и достаточно простые регрессионные модели (Caves, 1976; Edwards, 1978; King, 1988), но уже к началу XXI века практика анализа и предсказания политических процессов с технической точки зрения заметно продвинулась вперед. В первую очередь это было связано с ростом вычислительных мощностей компьютеров, но также и с развитием статистических методов в социальных науках (Keely, 2008).
Здесь надо отметить, что регрессионное моделирование имеет некоторое количество ограничений, которые значительно усложняют их использование применительно ко многим исследовательским вопросам (Алексеев, 2006). В частности, хотелось бы обратить внимание на проблему анализа комплексных процессов, подверженных влиянию большого количества факторов. Для классических регрессионных моделей достаточно остро стоит вопрос большого количества предикторов; в такой ситуации модели могут значительно завышать показатели своего качества (Lahiri, Monokroussos, Zhao, 2016). В то же время условия, которые должны быть соблюдены для состоятельной оценки с помощью такого рода моделей, достаточно жесткие. В связи с этим для анализа многофакторных процессов начали использовать более продвинутые и сложные регрессионные методы, например, методы байесовского анализа (De Mol, Giannone, Reichlin, 2008).
С аналогичной проблемой столкнулись и мы, когда перед нами встал вопрос изучения факторов, влияющих на возникновение революционных событий. Революция является многомерным феноменом, и на ее генезис влияет невероятное множество различных факторов. Аналогичным вопросом задавались также и другие авторы, однако для своего анализа они часто ограничивались достаточно узкой постановкой вопроса, например, задачей исключительно предсказания нестабильности или задачей анализа отдельных факторов (Goldstone et al., 2010; Ulfelder, 2012; Korotayev, Medvedev, Zinkina, 2022). Одновременно и решить задачу построения достаточно качественной модели, способной предсказывать революции, и иметь возможность проанализировать множество факторов до этого пытались всего несколько исследователей (Beissinger, 2022; Blair, Sambanis, 2020). Их работы были в основном сфокусированы на подходе, который использует множество моделей, использующих небольшое количество заранее отобранных переменных, которые достаточно подробно изучались по отдельности.
Но сегодня уже вполне распространенной становится методология, которая позволяет нивелировать достаточно большое количество факторов, осложняющих использование классических регрессионных моделей для анализа широкого спектра факторов. Это модели машинного обучения. В качестве референсного примера (схожего по сложности и многофакторности оказываемого влияния) можно привести задачу предсказания погоды, где достаточно активно начали внедрять схожие методы еще в начале XXI века (Ben Bouallègue, 2024)¹.
1 - Впрочем, сравнение социальных движений с погодой не совсем уместно, поскольку в случае с погодой прогнозы не могут ее изменять.
Прогнозирование политической нестабильности в том или ином проявлении является одной из ключевых задач в области политической социологии. Оно позволяет выявлять потенциальные угрозы и риски, связанные с политическими, демографическими, экономическими, социальными и иными процессами, и принять меры по их предотвращению или минимизации. Модели машинного обучения могут выявлять скрытые закономерности в данных, которые не очевидны или не видны в классических методах анализа. Это может помочь объяснить глубинные причины политических процессов и предсказать их более точными методами, чем это было доступно в середине XX века. Использование машинного обучения может повысить точность прогнозов политических процессов за счет учета большего количества факторов и анализа больших объемов данных.
У моделей машинного обучения есть несколько значительных плюсов, которые отличают их от регрессионных моделей. Например, модели машинного обучения заметно менее чувствительны к скореллированности независимых переменных в модели; поэтому в них значительно слабее ограничения на используемое в них число факторов (Chan et al., 2022). Стоит сказать, что модели машинного обучения применялись в основном для задачи прогнозирования тех или иных факторов и не применялись так активно для задачи ранжирования факторов. В связи с этим не существует сложившихся подходов, которые помогли бы проанализировать, на основе чего модель делает свое предсказание. Для множества случаев применения (что верно также и для методов использования искусственного интеллекта) она оставалась «черным ящиком» (Von Eschenbach, 2021). В своей работе мы хотели бы рассмотреть и сравнить различные способы анализа моделей машинного обучения для решения задачи ранжирования факторов предикторов нестабильности.
Основные подходы
Как мы говорили выше, методы с использованием машинного обучения были использованы в социальных науках не сами по себе, а после успешного апробирования в смежных областях. Так, работы в области экономики и демографии показали состоятельность этого метода (Bishop, 2006). Эти исследования в основном ставили перед собой задачу предсказания комплексных процессов. В то же время первые работы с применением машинного обучения для задачи анализа нестабильности начали использоваться применительно к теме «арабской весны» (Joseph et al., 2014). При этом эти работы также были сильно связаны с темой дата-майнинга (data-mining). Исследователи использовали полуобученные (semi-supervised) модели для классификации твитов и авторов твитов по различным предварительно вручную выделенным категориям. «Арабская весна» показала сильную роль социальных медиа в процессе организации революционных событий (Коротаев, Шишкина, Исаев, 2016; Akaev et al., 2017; AlSayyad, Guvenc, 2015; Bayat, 2017; Beissinger, 2017; Levin et al., 2018; Lotan, 2011). В связи с этим понадобился инструментарий для анализа текстовой информации, в частности, контента из твиттера, так как исследователи выделяли именно его как один из основных факторов среди всех медиа. Анализ текстовой информации с применением машинного обучения использовался не только для анализа и категоризации текстовой информации, но и для задачи предсказания нестабильности. Опираясь на исследования, связывающие протестную активность и наличие выборов в стране в этот год, Тумасьян с коллегами пытались обогатить данные этих моделей дополнительной информацией о характере информационного поля в твиттере за период года до выборов (Tumasjan et al., 2010). Анализ они проводили с помощью регрессионного моделирования, но набор данных был ими собран именно с помощью методов машинного обучения. Проводились также исследования с аналогичным подходом по предсказанию войн на основе новостных статей (Chadefaux, 2014).
Однако оставалась проблема, связанная со значительной степенью неинтерпретируемости логики внутренней работы модели машинного обучения. Анализируя интернациональные конфликты, Голдсмит и его коллеги также обозначают проблему неинтерпретируемости, используя методы машинного обучения «как комплементарный метод к логит-модели» (Goldsmith, Chalup, Quinlan, 2008, p. 750). Упоминается также проблема, связанная с тем, что для работы продвинутых моделей в рамках анализа данных о нестабильности часто требуется значительный объем данных (Gleditsch, Metternich, 2014). С распространением новой методологии значительно увеличивается и необходимость в различных методах, связанных с анализом моделей машинного обучения. Так, можно выделить два направления анализа: анализ значимости и анализ направления связи. Задача выделения значимости в первую очередь связана с задачей ранжирования независимых переменных, так как ранжированный список позволяет определить, какие переменные можно с уверенностью считать значимыми для предсказания, а какие вносят несущественный вклад (Grömping, 2015; Tang, Liu, 2012). Вторым направлением работ по анализу моделей является определение направления связи между предиктором и зависимой переменной (Боровский, 2015; Sun et al., 2012). Таким образом, перед нами стояла задача по апробации и комбинации методов по анализу различных моделей машинного обучения.
Поговорим чуть подробнее про методы, связанные с определением значимых факторов моделей. Одним из первых и наиболее распространенных методов является оценка важности предикторов (Feature Importance). Этот метод используется для оценки параметров вклада каждого из предикторов модели в результат ее работы. Этот метод применяется преимущественно для моделей, построенных на основе дерева решений или родственных ему. При этом можно использовать два основных подхода — по уменьшению ошибки в процессе предсказания модели или по частоте использования переменной в построении деревьев (Baehrens, 2010).
Для моделей, построенных на деревьях решений, через анализ того, насколько каждый предиктор уменьшает неопределенность при разбиении данных, вычисляется важность предикторов по уменьшению ошибки. Модель делит данные на основе значений предикторов, чтобы сделать подгруппы максимально гомогенными, и при этом максимизировать различия между ними. Важность признака определяется через сумму уменьшения критерия расщепления, например, энтропии или индекса Джини для всех узлов, где предиктор используется. Выбор критерия расщепления делается в зависимости от характера зависимой переменной. На каждом узле дерева выбирается тот предиктор, который обеспечивает наибольшее уменьшение неопределенности. Чем больше предиктор уменьшает неопределенность, тем выше важность признака. Это позволяет выявить признаки, наибольшим образом влияющие на результаты модели. Важно отметить, что этот метод может быть чувствителен к мультиколлинеарным предикторам, так как при условии сильной корреляции модель может выбирать только один признак из набора скоррелированных метрик, снижая видимую важность других. Поэтому обычно этим методом пользуются в сочетании с другими способами оценки важности признаков, чтобы получить более полную картину (Altmann, 2010; Nicodemus, 2010; Nirmalraj et al., 2023; Medvedev et al., 2022).
Для оценок, построенных на изменении в функции потерь, оценивается вклад каждого признака в модель машинного обучения путем анализа того, как изменение предикторов модели влияет на ее предсказательную способность. Этот подход использует информацию о том, насколько исключение или изменение значения конкретного предиктора увеличивает или уменьшает ошибку модели. Функция потерь в данном случае — это математическая формула, измеряющая степень отклонения предсказания модели от реального результата, известного нам заранее. В задачах классификации чаще всего применяются такие функции потерь, как Cross-Entropy, AUC, PRAUC. Важно отметить, что оценка через функцию потерь может быть чувствительна к размерности данных, которые мы используем (Muthukumar et al., 2021). Однако этот подход особенно хорошо работает не просто в моделях с деревьями решений, а в ансамблевых моделях с применением градиентного бустинга, где интерпретация важности признаков может быть менее очевидной за счет построения не одного, а целого набора из решающих деревьев. При этом по отдельности каждое из этих деревьев обладает относительно низкой предсказательной силой, но достаточно высокую предсказательную силу они демонстрируют в комплексе (Li, Yang, 2003).
Оценки модели по методу случайной переменной необходимы в первую очередь для определения порога значимости переменных в модели. Основная идея метода заключается в добавлении случайно перемешанной переменной в тестовом наборе данных и последующем измерении влияния этого на точность модели; перед этим оценивается производительность модели на тестовом наборе данных без изменений, чтобы получить референсное значение (Yun, 2015). Далее мы проводим оценку важности наших предикторов по любому из вышеописанных методов и получаем границу отсечения, по которой мы способны измерить то, с какой точки мы не можем быть уверены в реальной статистической значимости наших переменных. Этот метод легко интерпретируется и может применяться к различным типам моделей, включая сложные ансамблевые методы. Однако метод может быть чувствителен к выбросам и шуму в данных.
Поговорим теперь про методы оценки направления связи наших предикторов с зависимой переменной. Одним из основных и самых известных является метод с использованием векторов Шепли (SHAP Values). Метод становится все более популярным среди исследователей и практиков, стремящихся получить прозрачные и обоснованные интерпретации моделей машинного обучения. Этот метод оценивает важность признаков, обеспечивая интерпретацию на уровне каждого предсказания. Метод основан на концепции из теории игр, где значения Шепли используются для справедливого распределения выигрыша среди игроков, участвующих в кооперативной игре (Antonini et al., 2024). При использовании этого подхода к машинному обучению «игроками» являются признаки, а «выигрыш» — предсказание модели. При оценке учитываются все возможные комбинации признаков и вычисляется среднее изменение в предсказании модели. Такой подход обеспечивает уникальную интерпретируемость как на уровне каждого отдельного наблюдения, так и для направления связи на уровне усредненных данных. Одной из главных особенностей SHAP является его способность учитывать взаимодействия между признаками. При этом SHAP Values обеспечивают согласованность и точность, что делает оценки, сделанные с помощью данного метода, особенно полезными для сложных моделей, таких как ансамбли деревьев решений, в том числе бустинговые (Hamilton, 2023).
Используемые данные и ограничения
Для начала стоит обозначить, какие данные мы будем использовать для наших задач. Так как перед нами базово стояла задача предсказания, то мы использовали максимально широкий спектр данных, которые охватывают большую часть аспектов, влияющих на возникновение революционных событий. В большой степени используемый нами набор пересекается с теми факторами, которые выделяет Бейсинджер в своей книге об анализе различных факторов, влияющих на революции (Beissinger, 2022), а также теми, значимость которых для генезиса революционной дестабилизации была показана нами в наших предыдущих исследованиях (см., например: (Коротаев, Васькин и др., 2017; Коротаев, Исаев и др., 2015; Коротаев, Сойер и др., 2020; Мусиева и др., 2023; Устюжанин, Гринин и др., 2022; Устюжанин, Костин и др., 2023; Устюжанин, Степанищева и др., 2023; Grinin et al., 2019; Korotayev, Issaev et al., 2015; Korotayev, Vaskin et al., 2018; Korotayev, Zhdanov et al., 2025; Kostin, Korotayev, 2024).
Список использованных независимых переменных представлен ниже в таблице 1.
Таблица 1. Используемые параметры в модели
Table 1. Parameters used in the model
| Название переменной в БД | Расшифровка | Источник |
| By_world_main_dv | Количество революционных эпизодов в мире в исследуемый год (исключены революционные события в самой стране) | Собственный подсчет |
| By_region_main_dv | Количество революционных эпизодов в регионе в исследуемый год (исключены революционные события в стране) | Собственный подсчет |
| VDEM_v2x_corr | Индекс политической коррупции | V-Dem |
| domestic6_8 | Усредненные за 5 лет данные о количестве протестов и бунтов в стране | CNTS |
| gap_GDP_per_capita_growth | Рост ВВП на душу населения, в % | GAP |
| Us_foreign_aid_obligationsconstant_amount | Помощь со стороны США (в $) | USAID |
| BPOil production (TWh) | Объем добычи нефти и газа, в Твт/ч | BritishPetroleum |
| WB_InflationConsumerPrice | Индекс потребительских цен | World Bank |
| WPP_All_Sum | Население | World Population Prospects |
| Polity5_durable | Количество лет с предыдущей смены режима | Polity 5 |
| FAO_FoodPriceIndex | Изменение цен на продовольственную корзину, в % | Food Agriculture Organisation |
| gap_Income_per_person | ВВП на душу населения, в пост. $ США | GAP |
| REIGN_Incumbent_duration | Время пребывания первого лица у власти | REIGN |
| VDEM_v2x_polyarchy | Индекс электоральной демократии (0-1) | V-Dem |
| Bessinger_percmuslim_plus_WPopReview_muslim_in... | Процент мусульманского населения | (Beissinger, 2022) и UNDP |
| WPP_15_29_share_15plus | Доля молодежи в возрасте 15–29 лет в численности населения от 15 лет и старше | World Population Prospects |
| BESS_plus_WB_Urbanization | Урбанизация | (Beissinger, 2022) и World Bank |
| HDR_BL_sovmest_mys | Среднее число лет обучения | (Barro, Lee, 1996) и Human Development Report |
| CDetat_total_5yrSum | Усредненные за 5 лет перевороты и попытки переворота | CIFP, Coup D’Etat |
| epr_discriminated_size | Доля дискриминируемого населения | (Wimmer et al., 2009) |
В то же время у нас имеется значительное количество пропущенных данных, которые могут сильно влиять на работу нашей модели. Чтобы избежать ситуации, когда пропуски в данных могут быть не случайными и приводить к проблеме эндогенности, мы использовали подход по вероятностному заполнению пропусков. Так, страны с более низким уровнем благосостояния и государственной состоятельности и, соответственно, более низким качеством сбора государственной статистики имеют бо́льшую вероятность того, что в их данных могут быть пропуски (Lall, 2016). В качестве основного подхода к заполнению данных использовалась модель Amelia II, учитывающая панельную структуру наших таблиц (Honaker, King, Blackwell, 2011).
Также отдельно стоит сказать об используемой зависимой переменной. Мы используем данные о революционных эпизодах за XXI век (с 2000 года по 2024 год) (Коротаев, Гринин, Устюжанин, 2024). Эта база данных включает в себя информацию о типе тактики протестующих, цели, степени успеха и вооруженности протестующих. Наша база данных содержит более пяти с половиной тысяч строчек данных и состоит из 20 факторов, пропуски в которых заполнены по 50 разным сценариям. Далее все оценки будут приводиться нами по усредненным значениям.
Необходимо особо подчеркнуть, что в тестах, результаты которых мы приводим ниже, в качестве зависимой переменной использованы исключительно невооруженные революционные выступления. Это важная оговорка, так как исследования последних лет (которые можно отнести к пятому поколению исследований революций (Коротаев, Гринин и др., 2025; Grinin, Korotayev, 2024; Korotayev, Grinin et al., 2025; Korotayev, Ustyuzhanin et al., 2025)) убедительно показали, что предикторы начала вооруженных и невооруженных революционных выступлений различаются очень сильно; так что факторы, увеличивающие вероятность начала невооруженных революций, могут снижать вероятность начала вооруженных восстаний, и наоборот (см., например: (Коротаев, Жданов, 2023а; Устюжанин, Жодзишская и др., 2022; Устюжанин, Сумерников и др., 2022; Устюжанин, Коротаев, 2022; Beissinger, 2022; Butcher, Svensson, 2016; Chenoweth, Ulfelder, 2017; Pinckney, RezaeeDaryakenari, 2022)).
Перейдем к непосредственному описанию модели, которую мы используем. Для начала нам необходима была модель, которая построена на основе решающих деревьев с ансамблем, так как они показывают наилучший результат при прочих равных. Под эти критерии подходит достаточно большое количество моделей, но мы решили прибегнуть к моделям с градиентным бустингом, так как мы используем не так много переменных, поэтому имеем возможность применить не самые производительные, но наиболее точные модели. Среди таких моделей можно выделить AdaBoost, XGBoost и CatBoost. Подробнее о причинах выбора модели мы говорили в предыдущих работах (Медведев, Коротаев, 2020), но стоит сказать дополнительно, что для задачи предсказания нестабильности использование CatBoost может быть предпочтительным по нескольким причинам. Во-первых, CatBoost обладает встроенной поддержкой категориальных признаков, что делает его особенно полезным в контексте анализа социально-экономических и политических данных, где такие признаки часто встречаются. За счет хорошо подобранных стандартных параметров риск переобучения меньше, а модель более устойчива к шуму в данных. Во-вторых, CatBoost известен своей высокой производительностью и точностью, особенно на небольших и средних наборах данных. Алгоритм основан на градиентном бустинге, но использует уникальные методы для устранения смещения, вызванного порядком обучения, и для повышения общей стабильности модели. Эти особенности позволяют CatBoost эффективно справляться с перекосами и взаимодействиями между признаками, что особенно полезно для задач с исследованием различных факторов.
Также среди условий работы нашей модели была кросс-валидация по методу K-fold. Одним из базовых принципов работы модели машинного обучения является разбиение выборки на обучающую и тестовую. Тестовая выборка не принимает участия в процессе разбиения параметров модели в деревьях, но на ее основе принимается решение о качестве работы модели. Это защищает нас от так называемой проблемы переобучения. Чтобы получить правильно обобщенный прогноз, на который не влияет эффект разбиения данных, кросс-валидация делит данные на несколько частей, обучает модель на одних данных и проверяет ее на других. Это помогает понять, насколько хорошо модель работает на новых данных и насколько она устойчива к переобучению, при этом проверка происходит путем поочередного перебора всего датасета, попеременно делая тестовой одну из заранее разбитых частей.
При этом для подбора оптимальных параметров мы будем использовать поиск по сетке параметров (GridSearch). Этот метод используется в процессе обучения модели, когда такие ее гиперпараметры, как количество деревьев, глубина деревьев, скорость обучения, существенно влияют на производительность и точность предсказаний. GridSearch позволяет систематически перебрать все возможные комбинации заданных гиперпараметров и найти наиболее оптимальную конфигурацию, которая минимизирует ошибку модели на валидационном наборе данных. Это критически важно, так как правильная настройка гиперпараметров может значительно улучшить качество предсказаний, избежать переобучения и повысить общую устойчивость модели.
Все вышеописанные операции будут применяться к каждому из 50 прогнозных датасетов с импутацией. Помимо этого, 2023 и 2024 годы мы исключали из тестовой и обучающей выборок и сделали из них отдельный валидационный датасет, на котором проверяли качество предсказания модели на данных, которые не принимали участия в обучении. Все эти методы требуют много времени и вычислительных ресурсов для обработки данных, а также диапазонной оценки факторов, что усложняет процесс прогнозирования.
Результаты тестирования методов
Рассмотрим теперь полученные нами результаты (см. табл. 2).
Таблица 2. Оценка параметров модели через важность в разбиении данных в деревьях
Table 2. Estimating model parameters via importance in data partitioning in trees
| Название переменной | Уровень вклада, в % |
| Количество революционных эпизодов в мире в исследуемый год (исключены революционные события в стране) | 7,084 |
| Количество революционных эпизодов в регионе в исследуемый год (исключены революционные события в стране) | 6,907 |
| Индекс политической коррупции | 6,628 |
| Усредненные за 5 лет данные о количестве протестов и массовых беспорядков в стране | 6,552 |
| Рост ВВП на душу населения, в % | 6,351 |
| Помощь со стороны США (в $) | 6,253 |
| Объем добычи нефти и газа, в Твт/ч | 5,986 |
| Индекс потребительских цен | 5,737 |
| Численность населения | 5,677 |
| Количество лет с предыдущей смены режима | 5,571 |
| Изменение цен на продовольственную корзину, в % | 4,970 |
| ВВП на душу населения, в пост. $ США | 4,608 |
| Время пребывания первого лица у власти | 4,256 |
| Индекс электоральной демократии (0-1) | 4,091 |
| Процент мусульманского населения | 3,953 |
| Доля молодежи в возрасте 15–29 лет в численности населения от 15 лет и старше | 3,880 |
| Урбанизация | 3,431 |
| Среднее число лет обучения | 3,179 |
| Усредненные за 5 лет перевороты и попытки переворота | 2,765 |
| Доля дискриминируемого населения | 2,117 |
Для начала отметим, что мы не имеем значительно доминирующей переменной, что уже положительно говорит о качестве модели. В то же время снижение уровня вклада идет плавно, без скачков, что дополнительно указывает на состоятельность полученной модели. На первые два места в нашей модели попали переменные, которые отвечают за наличие революционных эпизодов в стране и в мире в конкретный год. Это подчеркивает исключительно высокую значимость феномена революционных волн, которому в рамках пятого поколения теорий революции уделяется очень большое внимание (Beck, 2011, 2014; Beissinger, 2022; Grinin, 2022; Grinin, Grinin, 2022; Grinin et al., 2022; Rozov, 2022). При этом примечательно, что вклад эффекта глобальных революционных волн оказывается даже сильнее эффекта волн региональных, хотя ряд исследований пятого поколения и утверждают, что значимы только лишь региональные волны (Gleditsch, Rivera, 2017). Это дает дополнительные аргументы в пользу утверждений об исключительно высокой значимости глобальных волн в революционных процессах XXI века (Braithwaite et al., 2015; Goldstone et al., 2022; Grinin, 2022; Grinin, Grinin, 2022; Grinin et al., 2022; Issaev, Korotayev, 2022; Голдстоун и др., 2022). Также данный феномен подтверждается и исследованиями в области распространения протестных настроений (protest diffusion) (Huang, Boranbay-Akan, Huang, 2019). Стоит также упомянуть, что исследуя такие движения, как Occupy, исследователи сходятся во мнении, что процесс распространения протестов происходит через интернет и часто не связан с конкретным регионом (Tremayne, 2016; Kavada, 2020).
В то же время примечательно, что в топе факторов оказываются именно те параметры, которые выделялись как одни из сильнейших и при использовании других методов: динамика ВВП (Устюжанин, Жодзишская и др., 2022; Beissinger, 2022; Cebul, Grewal, 2022; Knutsen, 2014; Ustyuzhanin, Sawyer et al., 2023), индекс коррупции (Устюжанин, Костин и др., 2023; Beissinger, 2022), численность населения (Brunnschweiler, Lujala, 2019; Dahl et al., 2021), эффект инерции (Устюжанин, Коротаев, 2022; Albrecht, Koehler, 2020; Braithwaite et al., 2014, 2015; Brooks, White, 2023; Butcher, Svensson, 2016; Dahl et al., 2021), продовольственная инфляция (Жданов, Коротаев, 2024). При этом значимая роль здесь общей инфляции была ранее выявлена с использованием именно методов машинного обучения (Pinckney, RezaeeDaryakenari, 2022).
Посмотрим теперь, какой результат даст разбиение по принципу ухудшения качества результирующей метрики. Обратим внимание, что мы применили два принципа пересчета — с полным исключением переменной из расчета и со случайным перемешиванием ее значений (см. табл. 3).
Таблица 3. Оценка параметров модели через изменение в функции оценки. Оба подсчета проранжированы по убыванию вклада
Table 3. Estimation of model parameters via change in the scoring function. Both estimates are ranked in descending order of contribution
| Название переменной | Изменение оценки при исключении | Название переменной | Изменение оценки при рандомизации колонки |
| Усредненные за 5 лет данные о количестве протестов и бунтов в стране | 0,062661 | Количество революционных эпизодов в мире в исследуемый год (исключены революционные события в стране) | 0,009708 |
| Количество революционных эпизодов в мире в исследуемый год (исключены революционные события в стране) | 0,055752 | Усредненные за 5 лет данные о количестве протестов и бунтов в стране | 0,006212 |
| Индекс потребительских цен | 0,04654 | Рост ВВП на душу населения, в % | 0,003742 |
| Усредненные за 5 лет перевороты и попытки переворота | 0,04652 | Индекс политической коррупции | 0,003625 |
| Помощь со стороны США (в $) | 0,038953 | Объем добычи нефти и газа, в Твт/ч | 0,003286 |
| Количество лет с предыдущей смены режима | 0,038932 | Количество лет с предыдущей смены режима | 0,003222 |
| Доля дискриминируемого населения | 0,037925 | Помощь со стороны США (в $) | 0,003088 |
| Доля молодежи в возрасте 15–29 лет в численности населения от 15 лет и старше | 0,037637 | Количество революционных эпизодов в регионе в исследуемый год (исключены революционные события в стране) | 0,003058 |
| Изменение цен на продовольственную корзину, в % | 0,035416 | Население | 0,002873 |
| Индекс электоральной демократии (0-1) | 0,034532 | Индекс потребительских цен | 0,002832 |
| Население | 0,033936 | Изменение цен на продовольственную корзину, в % | 0,002799 |
| Рост ВВП на душу населения, в % | 0,027418 | Время пребывания первого лица у власти | 0,002716 |
| Количество революционных эпизодов в регионе в исследуемый год (исключены революционные события в стране) | 0,024724 | Индекс электоральной демократии (0-1) | 0,002218 |
| Индекс политической коррупции | 0,023737 | Среднее число лет обучения | 0,002171 |
| Процент мусульманского населения | 0,023038 | ВВП на душу населения, в пост. $ США | 0,001964 |
| ВВП на душу населения, в пост. $ США | 0,020283 | Доля молодежи в возрасте 15–29 лет в численности населения от 15 лет и старше | 0,001815 |
| Объем добычи нефти и газа, в Твт/ч | 0,0202 | Урбанизация | 0,001690 |
| Среднее число лет обучения | 0,019234 | Усредненные за 5 лет перевороты и попытки переворота | 0,001587 |
| Урбанизация | 0,018823 | Процент мусульманского населения | 0,001573 |
| Время пребывания первого лица у власти | 0,007945 | Доля дискриминируемого населения | 0,000843 |
Интересно отметить, что наиболее сильным и стабильным фактором оказались усредненные протесты за последние 5 лет, и количество революционных эпизодов в мире. В то же время показатель количества революционных эпизодов в регионе значительно снизился, особенно в версии с исключением его из датасета. Как и предполагалось, фактор региональных революционных волн не так значительно влияет на модель и может быть «абсорбирован» другими переменными и их взаимодействием. Это дает дополнительное подтверждение того, что в XXI веке эффект глобальных революционных волн оказывается сильнее эффекта волн региональных.
Из стабильных факторов также показывает себя количество лет с предыдущей смены режима (что в заметной степени отражает эффект революционной инерции (Коротаев, Жданов, 2023а; Устюжанин, Коротаев, 2022; Albrecht, Koehler, 2020; Braithwaite et al., 2014, 2015; Brooks, White, 2023; Butcher, Svensson, 2016; Dahl et al., 2021)). Интересно, что доля дискриминируемого населения оказывается для оценки с перетасовыванием значений внутри параметра наименее важным фактором, в то время как для исключения он оказывается среди средне-значимых (в какой-то степени это может быть связано с тем обстоятельством, что фактор этот, безусловно, очень важен, но только для одного типа революций, «этно-сепаратистских» (Ustyuzhanin, Korotayev, 2023)). И для того, чтобы окончательно принять решение по списку значимых переменных, проведем нашу операцию с включением случайно сгенерированной переменной в модель и посмотрим, какие из метрик для какой из оценок она исключит (см. табл. 4).
Таблица 4. Оценка параметров модели путем добавления случайной нормально распределенной переменной
Table 4. Estimation of model parameters by adding a random normally distributed variable
| Топ по исключению из датасета | Топ по рандомизации | Топ по важности при разбиении |
| Усредненные за 5 лет данные о количестве протестов и бунтов в стране | Количество революционных эпизодов в мире в исследуемый год (исключены революционные события в стране) | Количество революционных эпизодов в мире в исследуемый год (исключены революционные события в стране) |
| Количество революционных эпизодов в мире в исследуемый год (исключены революционные события в стране) | Усредненные за 5 лет данные о количестве протестов и бунтов в стране | Количество революционных эпизодов в регионе в исследуемый год (исключены революционные события в стране) |
| Индекс потребительских цен | Рост ВВП на душу населения, в % | Индекс политической коррупции |
| Усредненные за 5 лет перевороты и попытки переворота | Индекс политической коррупции | Усредненные за 5 лет данные о количестве протестов и бунтов в стране |
| Помощь со стороны США (в $) | Объем добычи нефти и газа, в Твт/ч | Рост ВВП на душу населения, в % |
| Количество лет с предыдущей смены режима | Количество лет с предыдущей смены режима | Помощь со стороны США (в $) |
| Доля дискриминируемого населения | Помощь со стороны США (в $) | Объем добычи нефти и газа, в Твт/ч |
| Доля молодежи в возрасте 15–29 лет в численности населения от 15 лет и старше | Количество революционных эпизодов в регионе в исследуемый год (исключены революционные события в стране) | Индекс потребительских цен |
| Изменение цен на продовольственную корзину, в % | Население | Население |
| Индекс электоральной демократии (0-1) | Индекс потребительских цен | Количество лет с предыдущей смены режима |
| Население | Изменение цен на продовольственную корзину, в % | Изменение цен на продовольственную корзину, в % |
| Рост ВВП на душу населения, в % | Время пребывания первого лица у власти | ВВП на душу населения, в пост. $ США |
| Количество революционных эпизодов в регионе в исследуемый год (исключены революционные события в стране) | Индекс электоральной демократии (0-1) | Время пребывания первого лица у власти |
| Индекс политической коррупции | Среднее число лет обучения | Индекс электоральной демократии (0-1) |
| Процент мусульманского населения | ВВП на душу населения, в пост. $ США | Процент мусульманского населения |
| ВВП на душу населения, в пост. $ США | Доля молодежи в возрасте 15–29 лет в численности населения от 15 лет и старше | Доля молодежи в возрасте 15–29 лет в численности населения от 15 и старше |
| Объем добычи нефти и газа, в Твт/ч | Урбанизация | Урбанизация |
| Среднее число лет обучения | Усредненные за 5 лет перевороты и попытки переворота | Среднее число лет обучения |
| Урбанизация | Процент мусульманского населения | Усредненные за 5 лет перевороты и попытки переворота |
| Время пребывания первого лица у власти | Доля дискриминируемого населения | Доля дискриминируемого населения |
Примечательно, что количество незначимых независимых переменных в этом случае оказалось меньше, чем для других моделей. Можно вполне однозначно говорить о высокой важности таких факторов, как: количество революционных эпизодов в мире (эффект глобальных революционных волн), усредненные за пять лет данные о количестве антиправительственных демонстраций и массовых беспорядков в стране, численность населения, рост ВВП на душу населения, финансовая помощь со стороны США (о последнем факторе см.: (Kostin, Korotayev, 2024; Medvedev et al., 2022)). Посмотрим теперь более внимательно на усредненные направления связи по некоторым из этих переменных.

Рис. 1. SHAP Values для численности населения, в тысячах, ln
Fig. 1. SHAP Values for population, in thousands, ln
Как мы видим, высокая численность населения очень заметно увеличивает вероятность невооруженных революционных выступлений, особенно для стран, которые переходят порог в 80 миллионов, при этом показывая стабильно низкий результат для малых стран, что выглядит вполне оправданным, ведь с ростом населения у нас растет и вероятность возникновения того или иного эпизода нестабильности (Dorward, Fox, 2022); чем больше людей, тем больше и потенциальных точек пересечений разных интересов (Cincotta, Weber, 2021; Gleditsch и др., 2021). Как отмечает М. Бейссинджер, «кросс-национальные исследования уже давно показали, что численность населения страны положительно связана с уровнем дестабилизационной активности в ней1. Причины никогда не были полностью прозрачными, но могут объясняться теорией критической массы, которая утверждает, что размер населения облегчает мобилизацию, увеличивая вероятность того, что достаточное количество потенциальных участников может иметь необходимое время, ресурсы и мотивацию для участия1» (Beissinger, 2022, p. 115).
1 - Отметим, что это подтверждает и целый ряд проведенных нами кросснациональных исследований (см., например: (Коротаев, Сойер, Гладышев и др., 2021; Романов и др., 2021; Korotayev, Sawyer et al., 2021; Korotayev, Vaskin et al., 2021)).
1 - Со ссылкой на: (Marwell, Oliver, 1993). В применении к революциям см.: (Kurzman, 1996).

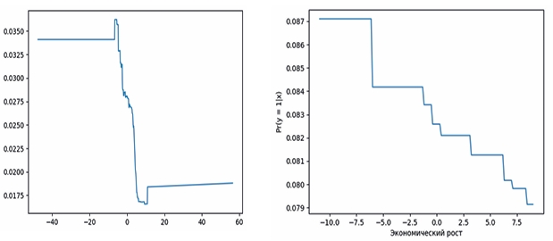
Рис. 2. SHAP Values для годовых темпов роста ВВП на душу населения, %. Слева мы можем видеть полный вид диаграммы. Справа же мы видим только ее часть для диапазона между -10 и 8%
Fig. 2. SHAP Values for annual growth rates of GDP per capita, %. On the left we can see the full view of the chart. On the right we see only a part of it for the range between -10 and 8%
Здесь мы видим значительный перекос в сторону стран с резким экономическим ростом или падением. В то же время видим значительный рост для стран с небольшой отрицательной динамикой и резкое падение для стран с динамикой роста около 5–10%. Рост около ноля выступает промежуточным звеном. В целом центральная часть графика, которая не зааффекчена выбросами в данных, выглядит более чем логично и предсказуемо. При этом провоцировать такие выступления может как экономический спад (Cebul, Grewal, 2022; Knutsen, 2014; Shaheen, 2015; Ustyuzhanin, Sawyer et al., 2023; Слав, Коротаев, 2021), так и экономический подъем (Beissinger, 2022; Медведев и др., 2022; Устюжанин, Жодзишская и др., 2022). Более подробно о связи экономического развития и возникновения протестов и революций мы уже писали в своих предыдущих работах (Коротаев, Жданов, 2023; Устюжанин, Михеева и др., 2023; Korotayev, Sawyer, Romanov, 2021).
Заключение
В данной работе мы показали, каким образом можно применить находки различных исследователей в области социальных наук применительно к задаче ранжирования факторов революционных событий. Мы рассмотрели самые распространенные способы анализа результатов, выдаваемые машинным обучением. В то же время данная область постоянно развивается и появляется множество иных способов использовать модели машинного обучения не просто как «черные ящики», а вытащить из них больше информации о внутренней логике модели. При этом появляется возможность разработки таких моделей, которые не просто являются интерпретируемыми, но и дают возможность прогнозировать будущие риски возникновения нестабильности с большей точностью. Также мы рассмотрели спорный вариант метода с отсечением незначимых переменных, однако в итоге оказалось отсечено небольшое их количество, и многие из них действительно пересекались между собой. Из содержательных результатов проведенных тестов особо следует отметить выявление исключительно мощного эффекта революционных волн в революционных событиях XXI века, притом что в XXI веке эффект глобальных революционных волн оказывается сильнее эффекта волн региональных. В целом проведенные тесты заставляют предполагать, что наиболее сильными факторами, значимо повышающими в XXI веке вероятность начала невооруженных революционных выступлений (кроме эффекта революционных волн), являются следующие: высокий уровень политической коррупции, эффект инерции (невооруженные революционные или мощные протестные события в недавнем прошлом), аномалии экономического роста, высокие объемы помощи со стороны США (эффект «железной клетки либерализма» по Д. Риттеру (Ritter, 2015)), отсутствие нефтяной ренты, высокая численность населения, высокая продовольственная инфляция, средний уровень экономического развития, продолжительное пребывание первого лица у власти и промежуточный тип политического режима.
Список литературы
1. Алексеев Т. Д. (2016) Анализ последовательностей в социологии: возможности, ограничения и потенциал применения. Социология: методология, методы, математическое моделирование, 43, c. 100–127. EDN: WPVYSV
2. Боровский А. А. (2015) Перспективы применения технологий машинного обучения к обработке больших массивов исторических данных. Кибернетика и программирование, (1), c. 77–114. EDN: TEUTCF. https://doi.org/10.7256/2306-4196.2015.1.13730
3. Голдстоун Дж. А., Гринин Л. Е., Коротаев А. В. (2022) Волны революций XXI столетия. Полис. Политические исследования, (4), c. 108–119. EDN: DVNOBB. https://doi.org/10.17976/jpps/2022.04.09
4. Жданов А. И., Коротаев А. В. (2024) Инфляционное давление и революционная дестабилизация: оценка воздействия и сравнительный анализ. Социология власти, 36 (2), c. 113–141. EDN: NQBWZK. https://doi.org/10.22394/2074-0492-2024-2-113-141
5. Коротаев А., Васькин И., Билюга С. (2017) Гипотеза Олсона-Хантингтона о криволинейной зависимости между уровнем экономического развития и социально-политической дестабилизацией: опыт количественного анализа. Социологическое обозрение, 16(1), c. 9–49. EDN: YKUXXJ. https://doi.org/10.17323/1728-192X2017-1-9-49.
6. Коротаев А. В., Гринин Л. Е., Устюжанин В. В. (2024) База данных по революционным событиям XXI века. М.: НИУ ВШЭ. EDN: AVSRLM
7. Коротаев А., Гринин Л., Устюжанин В., Файн Е. (2025) Пятое поколение исследований революции. Систематический обзор. Логос, 35(1), c. 191–316. EDN: RFTSEX. https://doi.org/10.17323/0869-5377-2025-1-193-296
8. Коротаев А. В., Жданов А. И. (2023a) Количественный анализ политических факторов революционной дестабилизации. Опыт систематического обзора. Полития: Анализ. Хроника. Прогноз (Журнал политической философии и социологии политики), (3), c. 149–171. EDN: NAZUCB. https://doi.org/10.30570/2078-5089-2023-110-3-149-171
9. Коротаев А. В., Жданов А. И. (2023б) Количественный анализ экономических факторов революционной дестабилизации: результаты и перспективы. Социология власти, 35(1), c. 118–159. EDN: VKRMWA. https://doi.org/10.22394/2074-0492-2023-1-118-159
10. Коротаев А.В., Исаев Л.М., Васильев А.М. (2015) Количественный анализ революционной волны 2013–2014 гг. Социологические исследования, (8), c. 119–127. EDN: UFZJFZ
11. Коротаев А. В., Сойер П. С., Гринин Л. Е., Шишкина А. Р., Романов Д. М. (2020) Социально-экономическое развитие и антиправительственные протесты в свете новых результатов количественного анализа глобальных баз данных. Социологический журнал, 26(4), c. 61–78. EDN: SCFFFV. https://doi.org/10.19181/socjour.2020.26.4.7642
12. Коротаев А. В., Шишкина А. Р., Исаев Л. М. (2016) Арабская весна как триггер глобального фазового перехода. Полис. Политические исследования, (3), c. 108–122. EDN: VWPTBL. https://doi.org/10.17976/jpps/2016.03.09
13. Медведев И. А., Коротаев А. В. (2020) К построению индекса социально-политической дестабилизации в различных мир-системных зонах. Системный мониторинг глобальных и региональных рисков, 11, c. 433–454. EDN: JHHHTO
14. Мусиева Д. М., Устюжанин В. В., Гринин Л. Е., Коротаев А. В. (2023) Субъективное благополучие и революционная дестабилизация. Опыт количественного анализа. Социология власти, 35 (3), c. 57–94. EDN: IYBOUU. https://doi.org/10.22394/2074-0492-2023-3-57-94
15. Устюжанин В. В., Гринин Л. Е., Медведев И. А., Коротаев А. В. (2022) Образование и революции (Почему революционные выступления принимают вооруженную или невооруженную форму?). Полития: Анализ. Хроника. Прогноз, (1), c. 50–71. EDN: TIZIXP. https://doi.org/10.30570/2078-5089-2022-104-1-50-71
16. Устюжанин В. В., Жодзишская П. А., Коротаев А. В. (2022) Демографические факторы как предикторы революционных ситуаций. Опыт количественного анализа. Социологический журнал, 28(4), c. 34–59. EDN: VEVEEC. https://doi.org/10.19181/socjour.2022.28.4.9314
17. Устюжанин В. В., Коротаев А. В. (2022) Регрессионное моделирование вооруженной и невооруженной революционной дестабилизации в афразийской макрозоне нестабильности. Системный мониторинг глобальных и региональных рисков, 13, c. 192–226. EDN: ADTXLI. https://doi.org/10.30884/978-5-7057-6184-5_07
18. Устюжанин В. В., Костин М. С., Гринин Л. Е., Коротаев А. В. (2023) Коррупция и революционная дестабилизация: опыт количественного анализа. Журнал социологии и социальной антропологии, 26(3), c. 53–99. EDN: YTNMDC. https://doi.org/10.31119/jssa.2023.26.3.3.
19. Устюжанин В. В., Михеева В. А., Сумерников И. А., Коротаев А. В. (2023) Экономические истоки революций: связь между ВВП и рисками революционных выступлений. Полития: Анализ. Хроника. Прогноз (Журнал политической философии и социологии политики), (1), c. 64–87. EDN: VRPOBO. https://doi.org/10.30570/2078-5089-2023-108-1-64-87
20. Устюжанин В., Степанищева Я., Галлямова А., Гринин Л., Коротаев А. (2023) Образование и риски революционной дестабилизации: опыт количественного анализа. Социологическое обозрение, 22(1), c. 98–128. EDN: WSZVDJ. https://doi.org/10.17323/1728-192X-2023-1-98-128
21. Устюжанин В. В., Сумерников И. А., Гринин Л. Е., Коротаев А. В. (2022) Урбанизация и революции: количественный анализ. Социологические исследования, (10), c. 85–95. EDN: WSMVJE. https://doi.org/10.31857/S013216250018478-8
22. Beissinger M.R. (2017) “Conventional” and “virtual” civil societies in autocratic regimes. Comparative Politics, 49(3), pp. 351–371. http://dx.doi.org/10.5129/001041517820934267
23. Beissinger M. R. (2022) The revolutionary city: Urbanization and the global transformation of rebellion. Princeton, NJ: Princeton University Press.
24. Ben Bouallègue Z. et al. (2024) The Rise of Data-Driven Weather Forecasting: A First Statistical Assessment of Machine Learning–Based Weather Forecasts in an Operational-Like Context. Bulletin of the American Meteorological Society, 105(6), pp. 864–883. https://doi.org/10.1175/BAMS-D-23-0162.1
25. Blair R. A., Sambanis N. (2020) Forecasting civil wars: Theory and structure in an age of “big data” and machine learning. Journal of Conflict Resolution, 64(10), pp. 1885–1915. https://doi.org/10.1177/0022002720918923
26. Braithwaite A., Braithwaite J. M., Kucik J. (2015) The conditioning effect of protest history on the emulation of nonviolent conflict. Journal of Peace Research, 52(6), pp. 697–711. https://doi.org/10.1177/0022343315593993.
27. Braithwaite A., Kucik J., Maves J. (2014) The costs of domestic political unrest. International Studies Quarterly, 58(3), pp. 489–500. https://doi.org/10.1111/isqu.12061.
28. Brooks R., White P. B. (2023) The military before the march: Civil-military grand bargains and the emergence of nonviolent resistance in autocracies. Journal of Peace Research, 61(6), pp. 1002–1018. https://doi.org/10.1177/00223433231180921
29. Brunnschweiler C. N., Lujala P. (2019) Economic backwardness and social tension. The Scandinavian Journal of Economics, 121(2), pp. 482–516. https://doi.org/10.1111/sjoe.12281
30. Butcher C., Svensson I. (2016) Manufacturing dissent: Modernization and the onset of major nonviolent resistance campaigns. Journal of Conflict Resolution, 60(2), pp. 311–339. https://doi.org/10.1177/0022002714541843
31. Caves R. E. (1976) Economic models of political choice: Canada’s tariff structure. Canadian Journal of Economics, 9(2), pp. 278–300. https://doi.org/10.2307/134522
32. Cebul M. D., Grewal S. (2022) Military conscription and nonviolent resistance. Comparative Political Studies, 55(13), pp. 2217–2249. https://doi.org/10.1177/00104140211066209
33. Chadefaux T. (2023) An automated pattern recognition system for conflict. Journal of Computational Science, 72, pp. 102–114. https://doi.org/10.1016/j.jocs.2023.102074
34. Chadefaux T. (2014) Early warning signals for war in the news. Journal of Peace Research, 51(1), pp. 5–18. https://doi.org/10.1177/0022343313507302
35. Chan J. Y. L. et al. (2022) Mitigating the multicollinearity problem and its machine learning approach: a review. Mathematics, 10(8), pp. 1283–1291. http://dx.doi.org/10.3390/math10081283
36. Chenoweth E., Ulfelder J. (2017) Can structural conditions explain the onset of nonviolent uprisings? Journal of Conflict Resolution, 61(2), pp. 298–324. https://doi.org/10.1177/0022002715576574
37. Dahl M., Gates S., Gleditsch K., González B. (2021) Accounting for Numbers: Group Characteristics and the Choice of Violent and Nonviolent Tactics. The Economics of Peace and Security Journal, 16(1), pp. 1–25. https://doi.org/10.15355/epsj.16.1.5
38. De Mol C., Giannone D., Reichlin L. (2008) Forecasting using a large number of predictors: Is Bayesian shrinkage a valid alternative to principal components? Journal of Econometrics, 146(2), pp. 318–328. https://doi.org/10.1016/j.jeconom.2008.08.011
39. Dorward N., Fox S. (2022) Population pressure, political institutions, and protests: A multilevel analysis of protest events in African cities. Political Geography, 99, pp. 102–111. https://doi.org/10.1016/j.polgeo.2022.102762
40. Edwards P. K. (1978) Time Series Regression Models of Strike Activity: A Reconsideration with American Data. British Journal of Industrial Relations, 16(3), pp. 47–62. https://doi.org/10.1111/j.1467-8543.1978.tb00289.x
41. Gleditsch K. S., Metternich N. W., Ruggeri A. (2014) Data and progress in peace and conflict research. Journal of Peace Research, 51(2), pp. 301–314. https://doi.org/10.1177/0022343313496803
42. Goldsmith B. E., Chalup S. K., Quinlan M. J. (2008) Regime type and international conflict: towards a general model. Journal of Peace Research, 45(6), pp. 743–763. https://doi.org/10.1177/0022343308096154
43. Goldstone J. A. et al. (2010) A global model for forecasting political instability. American journal of political science, 54(1), pp. 190–208. https://doi.org/10.1111/j.1540-5907.2009.00426.x
44. Goldstone J. A., Grinin L., Korotayev A. (2022) Introduction. Changing yet Persistent: Revolutions and Revolutionary Events. In: J. A. Goldstone, L. Grinin, A. Korotayev (Eds.), Handbook of Revolutions in the 21st Century: The New Waves of Revolutions, and the Causes and Effects of Disruptive Political Change (pp. 1–34). Cham: Springer Nature. https://doi.org/10.1007/978-3-030-86468-2_1
45. Grinin L. (2022) On revolutionary waves since the 16th century. In: J. A. Goldstone, L. Grinin, A. Korotayev (Eds.), Handbook of Revolutions in the 21st Century: The New Waves of Revolutions, and the Causes and Effects of Disruptive Political Change (pp. 389–411). Cham: Springer Nature. https://doi.org/10.1007/978-3-030-86468-2_13
46. Grinin L., Grinin A. (2022) Revolutionary Waves and Lines of the 20th Century //In: Goldstone J. A., Grinin L., Korotayev A. (Eds.), Handbook of Revolutions in the 21st Century: The New Waves of Revolutions, and the Causes and Effects of Disruptive Political Change (pp. 315-388). Cham: Springer Nature. https://doi.org/10.1007/978-3-030-86468-2_12
47. Grinin L., Grinin A. Korotayev A. (2022) 20th century revolutions: characteristics, types, and waves. Humanities and Social Sciences Communications, 9(1), pp. 1–13. https://doi.org/10.1057/s41599-022-01120-9.
48. Grinin L., Korotayev A. (2024) Is the Fifth Generation of Revolution Studies Still Coming? Critical Sociology, 50(6), pp. 1039–1067. https://doi.org/10.1177/08969205241245215
49. Grinin L., Korotayev A., Tausch A. (2019) Islamism, Arab Spring, and the Future of Democracy. World System and World Values Perspectives. Cham: Springer Nature. https://doi.org/10.1007/978-3-319-91077-2
50. Grömping U. (2015) Variable importance in regression models. Wiley interdisciplinary reviews: Computational statistics, 7(2), pp. 137-152. https://doi.org/10.1002/wics.1346
51. Hamilton R. I., Papadopoulos P. N. (2023) Using SHAP values and machine learning to understand trends in the transient stability limit. IEEE Transactions on Power Systems, 39(1), pp. 1384–1397. https://doi.org/10.1109/TPWRS.2023.3248941
52. Honaker J., King G., Blackwell M. (2011) Amelia II: A program for missing data. Journal of statistical software, 45(7), pp. 1–47. https://doi.org/10.18637/jss.v045.i07
53. Huang H., Boranbay-Akan S., Huang L. (2019). Media, protest diffusion, and authoritarian resilience. Political Science Research and Methods, 7(1), pp. 23–42. https://doi.org/10.1017/psrm.2016.25
54. Issaev L., Korotayev A. (2022) Introduction. New Wave of Revolutions in the MENA region//In: Issaev L., Korotayev A. (Eds.), New wave of revolutions in the MENA region. A comparative perspective (pp. 1–32). Cham: Springer. https://doi.org/10.1007/978-3-031-15135-4_1
55. Joseph K., Carley K. M., Filonuk D., Morgan G. P., Pfeffer J. (2014) Arab Spring: from newspaper. Social Network Analysis and Mining, 4(177), pp. 1–17. https://doi.org/10.1007/s13278-014-0177-5
56. Kavada A. (2020) Creating the collective: social media, the Occupy Movement and its constitution as a collective actor. Protesttechnologies and media revolutions (pp. 107-125). Emerald Publishing Limited.
57. Keele L. J. (2008) Semiparametric regression for the social sciences. Hoboken, NJ: John Wiley & Sons.
58. King G. (1988) Statistical models for political science event counts: Bias in conventional procedures and evidence for the exponential Poisson regression model. American Journal of Political Science, 32(3), pp. 838–863. https://doi.org/10.2307/2111248
59. Knutsen C. H. (2014) Income Growth and Revolutions. Social Science Quarterly, 95(4), pp. 920–937. https://doi.org/10.1111/ssqu.12081
60. Korotayev A., Grinin L., Ustyuzhanin V., Fain E. (2025) The Fifth Generation of Revolution Studies. Part I: When, Why and How Did It Emerge. Critical Sociology, 51(2), pp. 257–282. https://doi.org/10.1177/08969205241300596
61. Korotayev A., Issaev L., Zinkina J. (2015) Center-periphery dissonance as a possible factor of the revolutionary wave of 2013–2014: A cross-national analysis. Cross-Cultural Research, 49(5), pp. 461–488. https://doi.org/10.1177/1069397115595374
62. Korotayev A., Medvedev I., Zinkina J. (2022) Global Systems for Sociopolitical Instability Forecasting and Their Efficiency: A Comparative Analysis. Comparative Sociology, 21(1), pp. 64–104. https://doi.org/10.1163/15691330-bja10050
63. Korotayev A. V., Sawyer P. S., Romanov D. M. (2021) Socio-economic development and protests: A quantitative reanalysis. Comparative Sociology, 20(2), pp. 195–222. https://doi.org/10.1163/15691330-bja10030
64. Korotayev A., Ustyuzhanin V., Grinin L., Fain E. (2025) The fifth generation of revolution studies. Part II: A systematic review of substantive findings (Revolution Causes, Forms, and Waves). Critical Sociology 51(3), pp. 429–450. https://doi.org/10.1177/08969205241300595
65. Korotayev A., Vaskin I., Bilyuga S., Ilyin I. (2018) Economic Development and Sociopolitical Destabilization: A Re-Analysis. Cliodynamics, 9(1), pp. 59–118. https://doi.org/10.21237/c7clio9137314
66. Korotayev A., Zhdanov A., Grinin L., Ustyuzhanin V. (2025) Revolution and Democracy in the Twenty-First Century. Cross-Cultural Research, 59(2), pp. 180–215. https://doi.org/10.1177/10693971241245862
67. Kostin M., Korotayev A. (2024) USAID Democracy Promotion as a Possible Predictor of Revolutionary Destabilization. Comparative Sociology, 23(2), pp. 240–278. https://doi.org/10.1163/15691330-bja10102
68. Lahiri K., Monokroussos G., Zhao Y. (2016) Forecasting consumption: The role of consumer confidence in real time with many predictors. Journal of Applied Econometrics, 31(7), pp. 1254–1275. https://doi.org/10.1002/jae.2494
69. Lall R. (2016) How multiple imputation makes a difference. Political Analysis, 24(4), pp. 414–433. https://doi.org/10.1093/pan/mpw020
70. Levin N., Ali S., Crandall D. (2018) Utilizing remote sensing and big data to quantify conflict intensity: the Arab Spring as a case study. Applied Geography, 94, pp. 1–17. https://doi.org/10.1016/j.apgeog.2018.03.001
71. Li F., Yang Y. (2003) A loss function analysis for classification methods in text categorization. Proceedings of the 20th international conference on machine learning (ICML-03), pp. 472–479.
72. Lotan G., Graeff E., Ananny M., Gaffney D., Pearce I. (2011) The Arab Spring| the revolutions were tweeted: Information flows during the 2011 Tunisian and Egyptian revolutions. International journal of communication, 5(5), pp. 1375–1405.
73. Medvedev I., Ustyuzhanin V., Zinkina J., Korotayev A. (2022) Machine learning for ranking factors of global and regional protest destabilization with a special focus on Afrasian instability macrozone. Comparative Sociology, 21 (6), pp. 604–645. https://doi.org/10.1163/15691330-bja10062
74. Muthukumar V. et al. (2021) Classification vs regression in overparameterized regimes: Does the loss function matter? Journal of Machine Learning Research, 22(222), pp. 1–69.
75. Nicodemus K. K. et al. (2010) The behaviour of random forest permutation-based variable importance measures under predictor correlation. BMC bioinformatics, 11, pp. 1–13. https://doi.org/10.1186/1471-2105-11-110
76. Nirmalraj S. et al. (2023) Permutation feature importance-based fusion techniques for diabetes prediction. Soft Computing, 2023, pp. 1–12. https://doi.org/10.1007/s00500-023-08041-y
77. Pinckney J., RezaeeDaryakenari B. (2022) When the levee breaks: A forecasting model of violent and nonviolent dissent. International Interactions, 48(5), pp. 997–1026. https://doi.org/10.1080/03050629.2022.2090933
78. Ritter D. P. (2015) The iron cage of liberalism: International politics and unarmed revolutions in the Middle East and North Africa. Oxford: Oxford University Press.
79. Rozov N. (2022) Typology and principles of dynamics of revolutionary waves in world history. In: J. A. Goldstone, L. Grinin, A. Korotayev (Eds.), Handbook of Revolutions in the 21st Century: The New Waves of Revolutions, and the Causes and Effects of Disruptive Political Change (pp. 241–264). Springer. https://doi.org/10.1007/978-3-030-86468-2_9
80. Sun X. et al. (2012) Using cooperative game theory to optimize the feature selection problem. Neurocomputing, 97, pp. 86–93. https://doi.org/10.1016/j.neucom.2012.05.001
81. Tang J., Liu H. (2012) Feature selection with linked data in social media. Proceedings of the 2012 SIAM International Conference on Data Mining. Society for Industrial and Applied Mathematics, pp. 118–128.
82. Taylor L., Schroeder R., Meyer E. (2014) Emerging practices and perspectives on Big Data analysis in economics: Bigger and better or more of the same? Big Data & Society, 1(2), article 2053951714536877. https://doi.org/10.1177/2053951714536877
83. Tremayne M. (2016) Anatomy of protest in the digital era: A network analysis of Twitter and Occupy Wall Street. Social Networks and Social Movements. London: Routledge, pp. 110–126.
84. Tumasjan A. et al. (2010) Predicting elections with twitter: What 140 characters reveal about political sentiment. Proceedings of the international AAAI conference on web and social media, 4(1), pp. 178–185. https://doi.org/10.1609/icwsm.v4i1.14009
85. Ulfelder J. (2012) Forecasting Political Instability: Results from a Tournament of Methods. Available at SSRN 2156234.
86. Ustyuzhanin V., Korotayev A. (2023) Revolutions and Democracy. Can Democracies Prevent Revolutionary Armed Violence? Comparative Sociology, 22(1), pp. 95–137. https://doi.org/10.1163/15691330-bja10073
87. Ustyuzhanin V. V., Sawyer P. S., Korotayev A. V. (2023) Students and protests: A quantitative cross-national analysis. International Journal of Comparative Sociology, 64(4), pp. 375–401. https://doi.org/10.1177/00207152221136042
88. Von Eschenbach W. J. (2021) Transparency and the black box problem: Why we do not trust AI. Philosophy & Technology, 34(4), pp. 1607–1622. https://doi.org/10.1007/s13347-021-00477-0
89. Yun Y. H., Liang F., Deng B. C., Lai G. B., Vicente Gonçalves C. M., Lu H. M., Liang Y. Z. (2015) Informative metabolites identification by variable importance analysis based on random variable combination. Metabolomics, 11, pp. 1539–1551. https://doi.org/10.1007/s11306-015-0803-x
Об авторах
И. А. МедведевРоссия
Медведев Илья Александрович — магистр социологии, младший научный сотрудник, Центр изучения стабильности и рисков.
Москва
А. В. Коротаев
Россия
Коротаев Андрей Витальевич — д.и.н., директор, Центр изучения стабильности и рисков, НИУ «ВШЭ»; г.н.с., Институт Африки РАН.
Москва
Рецензия
Для цитирования:
Медведев И.А., Коротаев А.В. К прогнозированию вероятности невооруженной революционной дестабилизации методами машинного обучения. Социология власти. 2025;37(2):108-141. EDN: IBNXWP
For citation:
Medvedev I.A., Korotayev A.V. Towards Forecastingting the Probability of Unarmed Revolutionary Destabilization Using Machine Learning Methods. Sociology of Power. 2025;37(2):108-141. (In Russ.) EDN: IBNXWP
JATS XML







































